Выберите класс▼

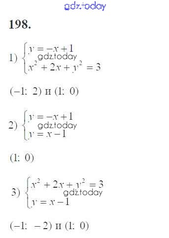
Ответы к Решение. Упражнения 198 Рабочей тетради по Алгебре для 8 класса Минаева, Рослова Просвещение 2017

На страницах сайта gdz.today вы найдете учебный и вспомогательный материал, направленный на улучшения знаний школьной программы. ГДЗ - онлайн мир знаний Решение. Упражнения 198 Рабочей тетради по Алгебре для 8 класса Минаева, Рослова Просвещение 2017