Ответы к Решение. §17. Вынесение множителя за знак корня. Внесение множителя под знак корня 10 Рабочей тетради по Алгебре для 8 класса Миндюк, Шлыкова Просвещение УМК 2016
-
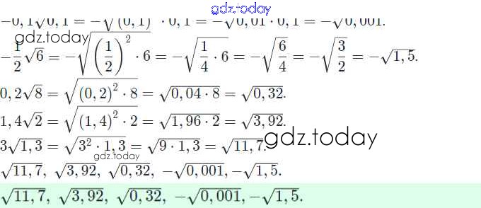
Решение. §17. Вынесение множителя за знак корня. Внесение множителя под знак корня
2
3
4
5
6
7
8
9
10
11
12
13
14
-
Решение. §18. Преобразование выражений, содержащих квадратные корни
1
2
3
4
На страницах сайта gdz.today вы найдете учебный и вспомогательный материал, направленный на улучшения знаний школьной программы. ГДЗ - онлайн мир знаний Решение. §17. Вынесение множителя за знак корня. Внесение множителя под знак корня 10 Рабочей тетради по Алгебре для 8 класса Миндюк, Шлыкова Просвещение УМК 2016