Выберите класс▼

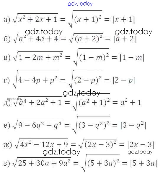
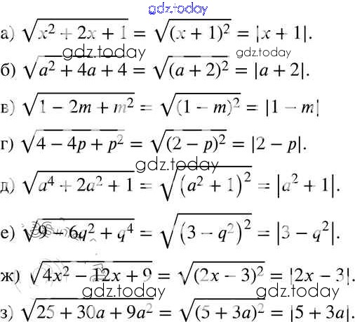
Ответы к Решение к главе 1 (упражнения с 1 по 197) 150 Учебнику по Алгебре для 8 класса Никольский, Потапов Просвещение МГУ - школе 2014

На страницах сайта gdz.today вы найдете учебный и вспомогательный материал, направленный на улучшения знаний школьной программы. ГДЗ - онлайн мир знаний Решение к главе 1 (упражнения с 1 по 197) 150 Учебнику по Алгебре для 8 класса Никольский, Потапов Просвещение МГУ - школе 2014