Ответы к Решение к главе 1 (упражнения с 1 по 197) 192 Учебнику по Алгебре для 8 класса Никольский, Потапов Просвещение МГУ - школе 2014
-
Решение к главе 2 (упражнения с 198 по 358)
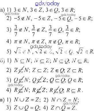
198
199
200
На страницах сайта gdz.today вы найдете учебный и вспомогательный материал, направленный на улучшения знаний школьной программы. ГДЗ - онлайн мир знаний Решение к главе 1 (упражнения с 1 по 197) 192 Учебнику по Алгебре для 8 класса Никольский, Потапов Просвещение МГУ - школе 2014