Выберите класс▼

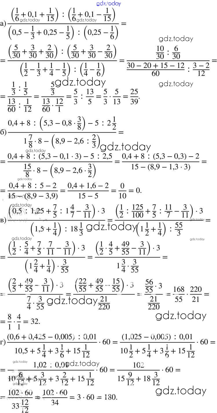
Ответы к Решение к заданиям для повторения (с 613 по 997) 616 Учебнику по Алгебре для 8 класса Никольский, Потапов Просвещение МГУ - школе 2014

На страницах сайта gdz.today вы найдете учебный и вспомогательный материал, направленный на улучшения знаний школьной программы. ГДЗ - онлайн мир знаний Решение к заданиям для повторения (с 613 по 997) 616 Учебнику по Алгебре для 8 класса Никольский, Потапов Просвещение МГУ - школе 2014