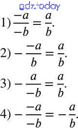
Ответы к §2. Основное свойство рациональной дроби Решение к главе 1. Рациональные выражения 32 Учебнику по Алгебре для 8 класса Мерзляк, Полонский Вентана-граф Алгоритм успеха 2016
-
Решение к главе 1. Рациональные выражения
-
§1. Рациональные дроби
24
25
26
На страницах сайта gdz.today вы найдете учебный и вспомогательный материал, направленный на улучшения знаний школьной программы. ГДЗ - онлайн мир знаний §2. Основное свойство рациональной дроби Решение к главе 1. Рациональные выражения 32 Учебнику по Алгебре для 8 класса Мерзляк, Полонский Вентана-граф Алгоритм успеха 2016