Выберите класс▼

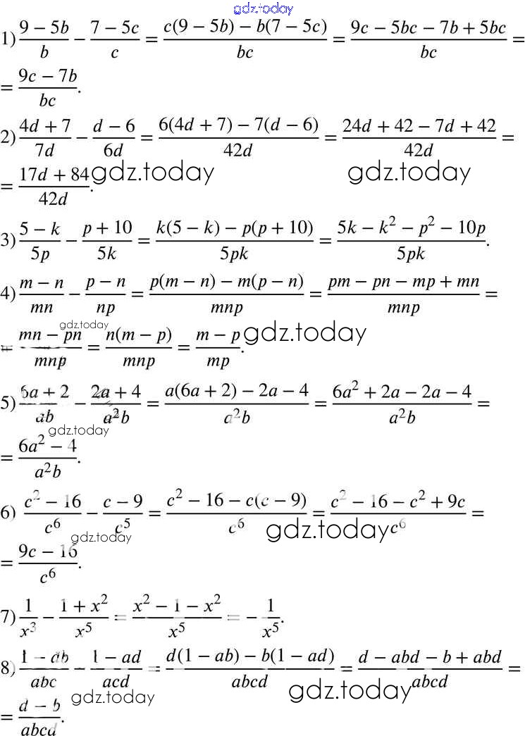
Ответы к §4. Сложение и вычитание рациональных дробей с разными знаменателями Решение к главе 1. Рациональные выражения 101 Учебнику по Алгебре для 8 класса Мерзляк, Полонский Вентана-граф Алгоритм успеха 2016

  • Решение к главе 1. Рациональные выражения
    • §3. Сложение и вычитание рациональных дробей с одинаковыми знаменателями
    • 93 94 95 96 97
На страницах сайта gdz.today вы найдете учебный и вспомогательный материал, направленный на улучшения знаний школьной программы. ГДЗ - онлайн мир знаний §4. Сложение и вычитание рациональных дробей с разными знаменателями Решение к главе 1. Рациональные выражения 101 Учебнику по Алгебре для 8 класса Мерзляк, Полонский Вентана-граф Алгоритм успеха 2016