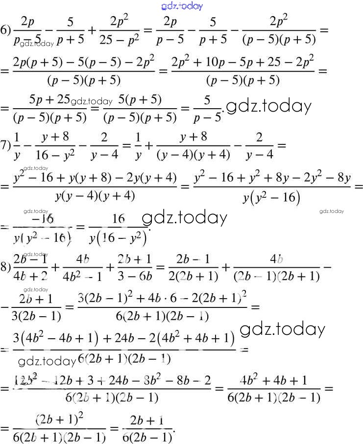
Ответы к §4. Сложение и вычитание рациональных дробей с разными знаменателями Решение к главе 1. Рациональные выражения 112 Учебнику по Алгебре для 8 класса Мерзляк, Полонский Вентана-граф Алгоритм успеха 2016
-
Решение к главе 1. Рациональные выражения
На страницах сайта gdz.today вы найдете учебный и вспомогательный материал, направленный на улучшения знаний школьной программы. ГДЗ - онлайн мир знаний §4. Сложение и вычитание рациональных дробей с разными знаменателями Решение к главе 1. Рациональные выражения 112 Учебнику по Алгебре для 8 класса Мерзляк, Полонский Вентана-граф Алгоритм успеха 2016