Выберите класс▼

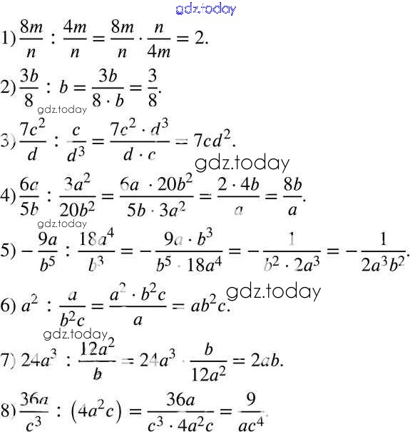
Ответы к §5. Умножение и деление рациональных дробей. Возведение рациональной дроби в степень Решение к главе 1. Рациональные выражения 149 Учебнику по Алгебре для 8 класса Мерзляк, Полонский Вентана-граф Алгоритм успеха 2016

  • Решение к главе 1. Рациональные выражения
    • §4. Сложение и вычитание рациональных дробей с разными знаменателями
    • 142
    • Проверь себя №1
    • 1
На страницах сайта gdz.today вы найдете учебный и вспомогательный материал, направленный на улучшения знаний школьной программы. ГДЗ - онлайн мир знаний §5. Умножение и деление рациональных дробей. Возведение рациональной дроби в степень Решение к главе 1. Рациональные выражения 149 Учебнику по Алгебре для 8 класса Мерзляк, Полонский Вентана-граф Алгоритм успеха 2016