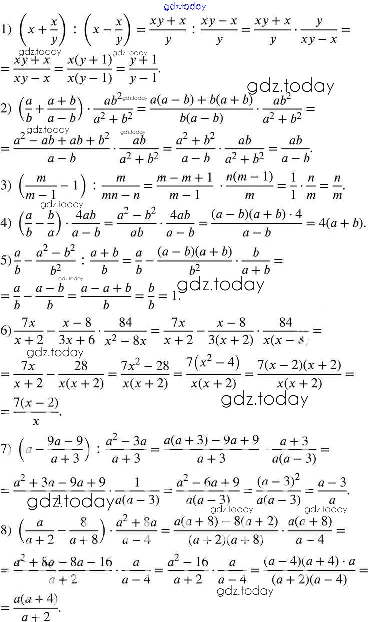
Ответы к §6. Тождественные преобразования рациональных выражений Решение к главе 1. Рациональные выражения 177 Учебнику по Алгебре для 8 класса Мерзляк, Полонский Вентана-граф Алгоритм успеха 2016
-
Решение к главе 1. Рациональные выражения
На страницах сайта gdz.today вы найдете учебный и вспомогательный материал, направленный на улучшения знаний школьной программы. ГДЗ - онлайн мир знаний §6. Тождественные преобразования рациональных выражений Решение к главе 1. Рациональные выражения 177 Учебнику по Алгебре для 8 класса Мерзляк, Полонский Вентана-граф Алгоритм успеха 2016