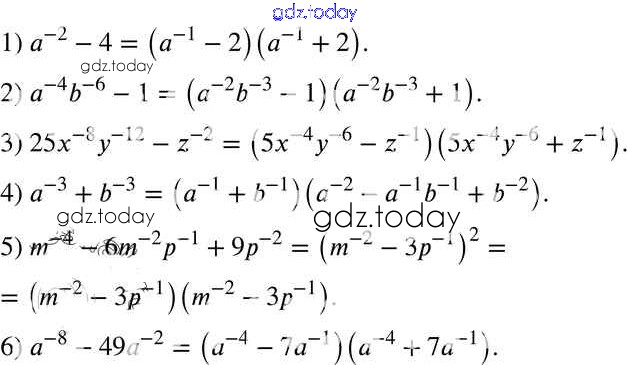
Ответы к §9. Свойства степени с целым показателем Решение к главе 1. Рациональные выражения 286 Учебнику по Алгебре для 8 класса Мерзляк, Полонский Вентана-граф Алгоритм успеха 2016
-
Решение к главе 1. Рациональные выражения
На страницах сайта gdz.today вы найдете учебный и вспомогательный материал, направленный на улучшения знаний школьной программы. ГДЗ - онлайн мир знаний §9. Свойства степени с целым показателем Решение к главе 1. Рациональные выражения 286 Учебнику по Алгебре для 8 класса Мерзляк, Полонский Вентана-граф Алгоритм успеха 2016