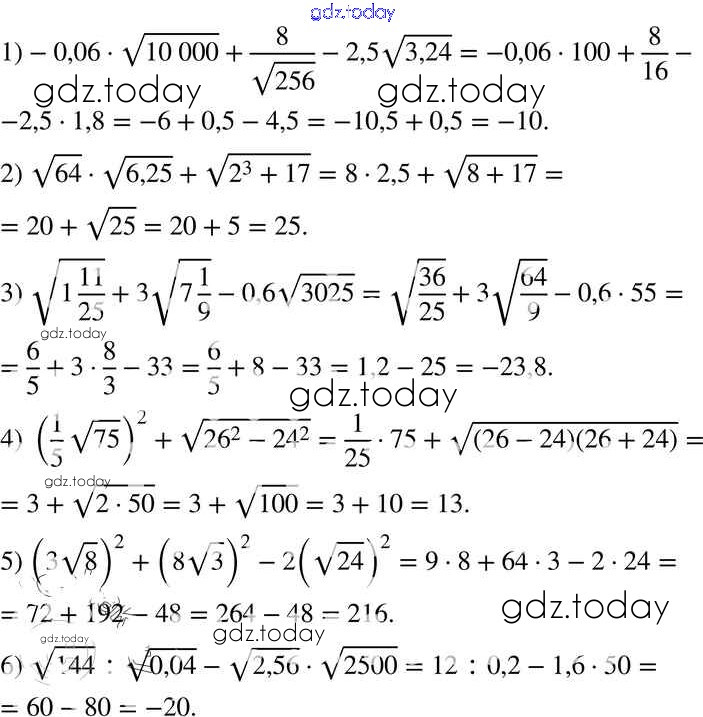
Ответы к §12. Квадратные корни. Арифметический квадратный корень Решение к главе 2. Квадратные корни. Действительные числа 397 Учебнику по Алгебре для 8 класса Мерзляк, Полонский Вентана-граф Алгоритм успеха 2016
-
Решение к главе 2. Квадратные корни. Действительные числа
На страницах сайта gdz.today вы найдете учебный и вспомогательный материал, направленный на улучшения знаний школьной программы. ГДЗ - онлайн мир знаний §12. Квадратные корни. Арифметический квадратный корень Решение к главе 2. Квадратные корни. Действительные числа 397 Учебнику по Алгебре для 8 класса Мерзляк, Полонский Вентана-граф Алгоритм успеха 2016