Выберите класс▼

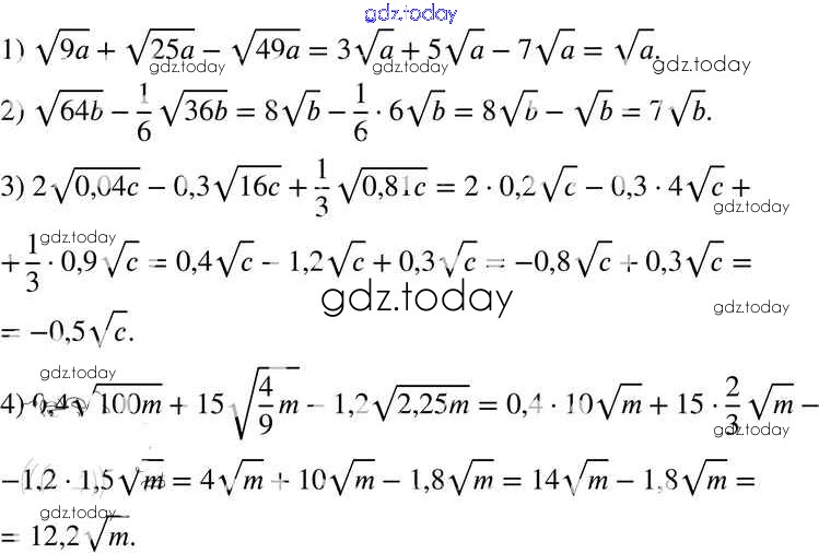
Ответы к §17. Тождественные преобразования выражений, содержащих арифметические квадратные корни Решение к главе 2. Квадратные корни. Действительные числа 531 Учебнику по Алгебре для 8 класса Мерзляк, Полонский Вентана-граф Алгоритм успеха 2016

  • Решение к главе 2. Квадратные корни. Действительные числа
    • §16. Свойства арифметического квадратного корня
    • 523
На страницах сайта gdz.today вы найдете учебный и вспомогательный материал, направленный на улучшения знаний школьной программы. ГДЗ - онлайн мир знаний §17. Тождественные преобразования выражений, содержащих арифметические квадратные корни Решение к главе 2. Квадратные корни. Действительные числа 531 Учебнику по Алгебре для 8 класса Мерзляк, Полонский Вентана-граф Алгоритм успеха 2016