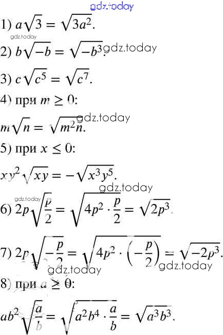
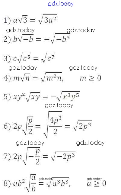
Ответы к §17. Тождественные преобразования выражений, содержащих арифметические квадратные корни Решение к главе 2. Квадратные корни. Действительные числа 565 Учебнику по Алгебре для 8 класса Мерзляк, Полонский Вентана-граф Алгоритм успеха 2016
-
Решение к главе 2. Квадратные корни. Действительные числа
На страницах сайта gdz.today вы найдете учебный и вспомогательный материал, направленный на улучшения знаний школьной программы. ГДЗ - онлайн мир знаний §17. Тождественные преобразования выражений, содержащих арифметические квадратные корни Решение к главе 2. Квадратные корни. Действительные числа 565 Учебнику по Алгебре для 8 класса Мерзляк, Полонский Вентана-граф Алгоритм успеха 2016