Выберите класс▼

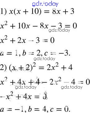
Ответы к §19. Квадратные уравнения. Решение неполных квадратных уравнений Решение к главе 3. Квадратные уравнения 620 Учебнику по Алгебре для 8 класса Мерзляк, Полонский Вентана-граф Алгоритм успеха 2016

  • Решение к главе 2. Квадратные корни. Действительные числа
    • Проверь себя №4
    • 1
На страницах сайта gdz.today вы найдете учебный и вспомогательный материал, направленный на улучшения знаний школьной программы. ГДЗ - онлайн мир знаний §19. Квадратные уравнения. Решение неполных квадратных уравнений Решение к главе 3. Квадратные уравнения 620 Учебнику по Алгебре для 8 класса Мерзляк, Полонский Вентана-граф Алгоритм успеха 2016