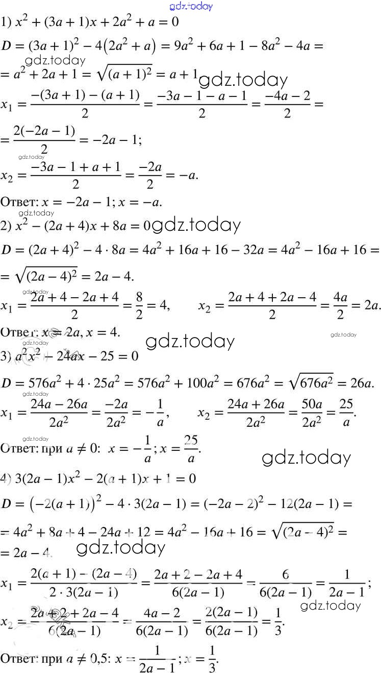
Ответы к §20. Формула корней квадратного уравнения Решение к главе 3. Квадратные уравнения 693 Учебнику по Алгебре для 8 класса Мерзляк, Полонский Вентана-граф Алгоритм успеха 2016
-
Решение к главе 3. Квадратные уравнения
На страницах сайта gdz.today вы найдете учебный и вспомогательный материал, направленный на улучшения знаний школьной программы. ГДЗ - онлайн мир знаний §20. Формула корней квадратного уравнения Решение к главе 3. Квадратные уравнения 693 Учебнику по Алгебре для 8 класса Мерзляк, Полонский Вентана-граф Алгоритм успеха 2016