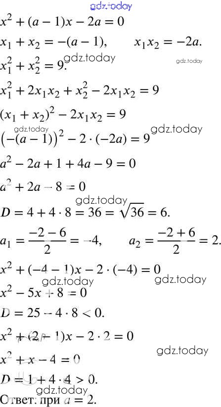
Ответы к §21. Теорема Виета Решение к главе 3. Квадратные уравнения 744 Учебнику по Алгебре для 8 класса Мерзляк, Полонский Вентана-граф Алгоритм успеха 2016
-
Решение к главе 3. Квадратные уравнения
-
§22. Квадратный трёхчлен
751
На страницах сайта gdz.today вы найдете учебный и вспомогательный материал, направленный на улучшения знаний школьной программы. ГДЗ - онлайн мир знаний §21. Теорема Виета Решение к главе 3. Квадратные уравнения 744 Учебнику по Алгебре для 8 класса Мерзляк, Полонский Вентана-граф Алгоритм успеха 2016