Выберите класс▼

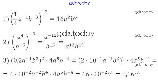
Ответы к §24. Рациональные уравнения как математические модели реальных ситуаций Решение к главе 3. Квадратные уравнения 837 Учебнику по Алгебре для 8 класса Мерзляк, Полонский Вентана-граф Алгоритм успеха 2016

  • Решение к главе 3. Квадратные уравнения
    • Проверь себя №6
    • 1
На страницах сайта gdz.today вы найдете учебный и вспомогательный материал, направленный на улучшения знаний школьной программы. ГДЗ - онлайн мир знаний §24. Рациональные уравнения как математические модели реальных ситуаций Решение к главе 3. Квадратные уравнения 837 Учебнику по Алгебре для 8 класса Мерзляк, Полонский Вентана-граф Алгоритм успеха 2016