Выберите класс▼

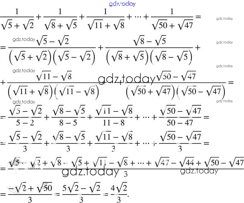
Ответы к Упражнения для повторения курса алгебры 8 класса 911 Учебнику по Алгебре для 8 класса Мерзляк, Полонский Вентана-граф Алгоритм успеха 2016

На страницах сайта gdz.today вы найдете учебный и вспомогательный материал, направленный на улучшения знаний школьной программы. ГДЗ - онлайн мир знаний Упражнения для повторения курса алгебры 8 класса 911 Учебнику по Алгебре для 8 класса Мерзляк, Полонский Вентана-граф Алгоритм успеха 2016