Ответы к §2. Операции над множествами Решение к главе 1. Множества и операции над ними 7 Учебнику по Алгебре для 8 класса Мерзляк, Поляков Углубленный уровень Вентана-граф Алгоритм успеха 2020
-
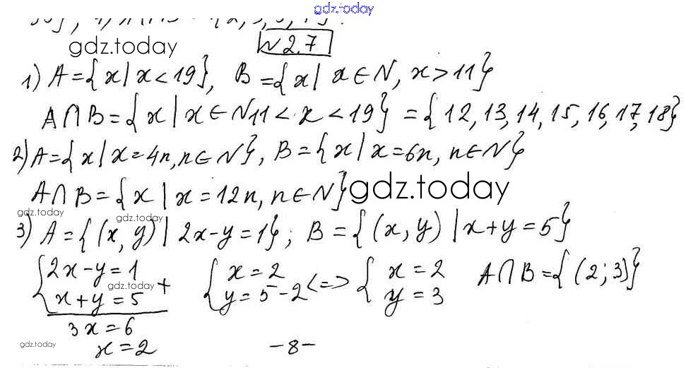
Решение к главе 1. Множества и операции над ними
На страницах сайта gdz.today вы найдете учебный и вспомогательный материал, направленный на улучшения знаний школьной программы. ГДЗ - онлайн мир знаний §2. Операции над множествами Решение к главе 1. Множества и операции над ними 7 Учебнику по Алгебре для 8 класса Мерзляк, Поляков Углубленный уровень Вентана-граф Алгоритм успеха 2020