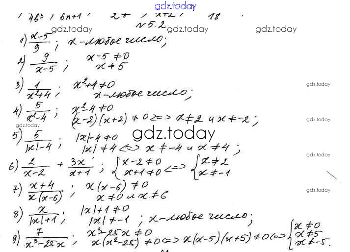
Ответы к §5. Рациональные дроби Решение к главе 2. Рациональные выражения 2 Учебнику по Алгебре для 8 класса Мерзляк, Поляков Углубленный уровень Вентана-граф Алгоритм успеха 2020
-
Решение к главе 1. Множества и операции над ними
-
Решение к главе 2. Рациональные выражения
На страницах сайта gdz.today вы найдете учебный и вспомогательный материал, направленный на улучшения знаний школьной программы. ГДЗ - онлайн мир знаний §5. Рациональные дроби Решение к главе 2. Рациональные выражения 2 Учебнику по Алгебре для 8 класса Мерзляк, Поляков Углубленный уровень Вентана-граф Алгоритм успеха 2020