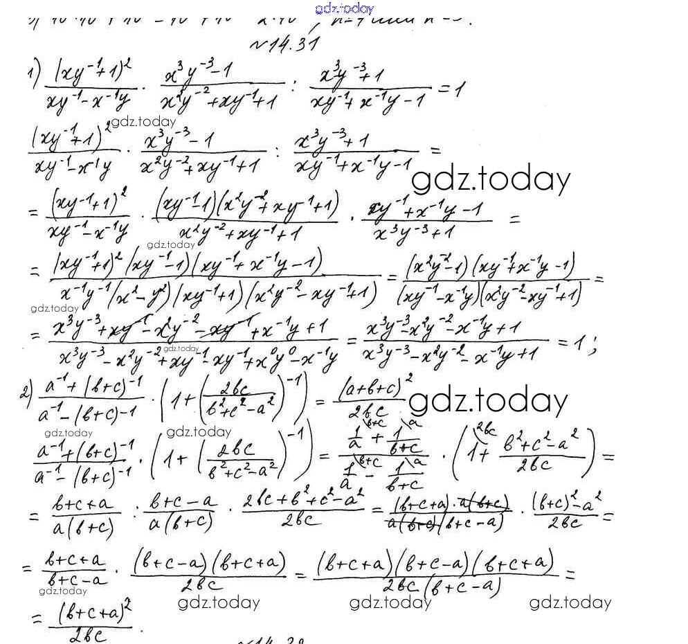
Ответы к §14. Свойства степени с целым показателем Решение к главе 2. Рациональные выражения 31 Учебнику по Алгебре для 8 класса Мерзляк, Поляков Углубленный уровень Вентана-граф Алгоритм успеха 2020
-
Решение к главе 2. Рациональные выражения
На страницах сайта gdz.today вы найдете учебный и вспомогательный материал, направленный на улучшения знаний школьной программы. ГДЗ - онлайн мир знаний §14. Свойства степени с целым показателем Решение к главе 2. Рациональные выражения 31 Учебнику по Алгебре для 8 класса Мерзляк, Поляков Углубленный уровень Вентана-граф Алгоритм успеха 2020