Выберите класс▼

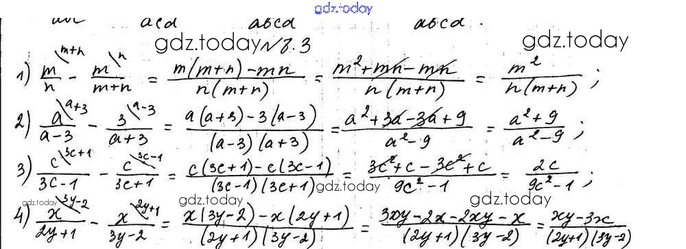
Ответы к §8. Сложение и вычитание рациональных дробей с разными знаменателями Решение к главе 2. Рациональные выражения 3 Учебнику по Алгебре для 8 класса Мерзляк, Поляков Углубленный уровень Вентана-граф Алгоритм успеха 2020

  • Решение к главе 2. Рациональные выражения
    • §7. Сложение и вычитание рациональных дробей с одинаковыми знаменателями
    • 26 27 28 29 30 31
На страницах сайта gdz.today вы найдете учебный и вспомогательный материал, направленный на улучшения знаний школьной программы. ГДЗ - онлайн мир знаний §8. Сложение и вычитание рациональных дробей с разными знаменателями Решение к главе 2. Рациональные выражения 3 Учебнику по Алгебре для 8 класса Мерзляк, Поляков Углубленный уровень Вентана-граф Алгоритм успеха 2020