Выберите класс▼

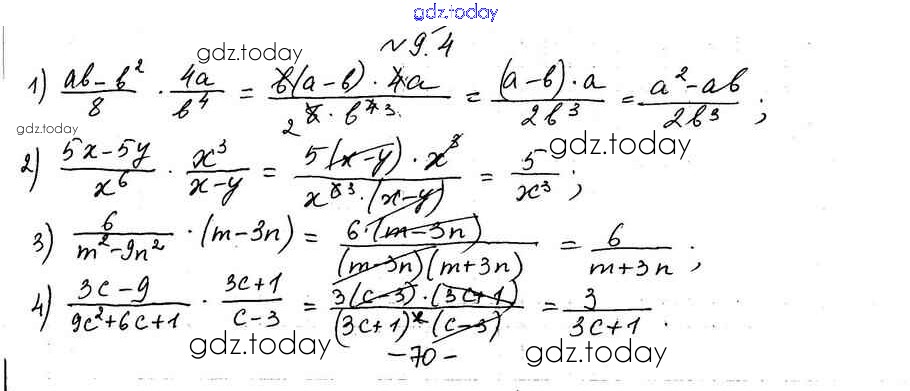
Ответы к §9. Умножение и деление рациональных дробей Решение к главе 2. Рациональные выражения 4 Учебнику по Алгебре для 8 класса Мерзляк, Поляков Углубленный уровень Вентана-граф Алгоритм успеха 2020

  • Решение к главе 2. Рациональные выражения
    • §8. Сложение и вычитание рациональных дробей с разными знаменателями
    • 42 43 44 45 46
На страницах сайта gdz.today вы найдете учебный и вспомогательный материал, направленный на улучшения знаний школьной программы. ГДЗ - онлайн мир знаний §9. Умножение и деление рациональных дробей Решение к главе 2. Рациональные выражения 4 Учебнику по Алгебре для 8 класса Мерзляк, Поляков Углубленный уровень Вентана-граф Алгоритм успеха 2020