Ответы к §10. Тождественные преобразования рациональных выражений Решение к главе 2. Рациональные выражения 21 Учебнику по Алгебре для 8 класса Мерзляк, Поляков Углубленный уровень Вентана-граф Алгоритм успеха 2020
-
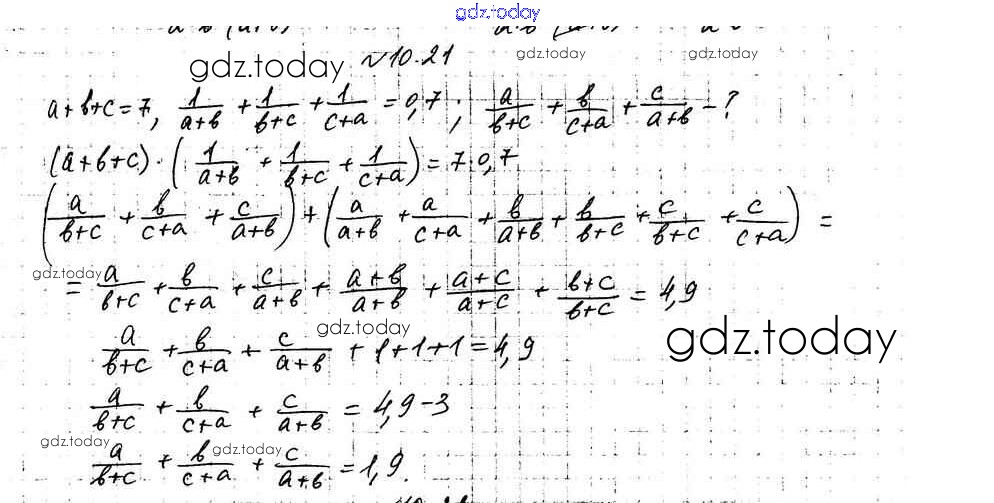
Решение к главе 2. Рациональные выражения
На страницах сайта gdz.today вы найдете учебный и вспомогательный материал, направленный на улучшения знаний школьной программы. ГДЗ - онлайн мир знаний §10. Тождественные преобразования рациональных выражений Решение к главе 2. Рациональные выражения 21 Учебнику по Алгебре для 8 класса Мерзляк, Поляков Углубленный уровень Вентана-граф Алгоритм успеха 2020