Выберите класс▼

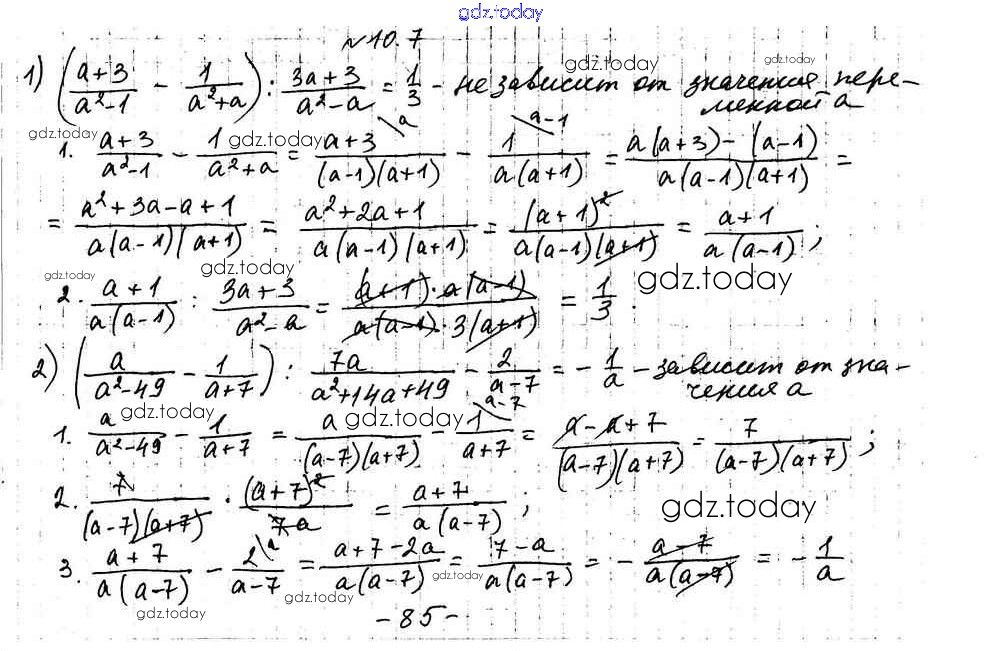
Ответы к §10. Тождественные преобразования рациональных выражений Решение к главе 2. Рациональные выражения 7 Учебнику по Алгебре для 8 класса Мерзляк, Поляков Углубленный уровень Вентана-граф Алгоритм успеха 2020

  • Решение к главе 2. Рациональные выражения
    • §9. Умножение и деление рациональных дробей
    • 35 36
На страницах сайта gdz.today вы найдете учебный и вспомогательный материал, направленный на улучшения знаний школьной программы. ГДЗ - онлайн мир знаний §10. Тождественные преобразования рациональных выражений Решение к главе 2. Рациональные выражения 7 Учебнику по Алгебре для 8 класса Мерзляк, Поляков Углубленный уровень Вентана-граф Алгоритм успеха 2020