Ответы к §17. деление с остатком Решение к главе 3. Основы теории делимости 31 Учебнику по Алгебре для 8 класса Мерзляк, Поляков Углубленный уровень Вентана-граф Алгоритм успеха 2020
-
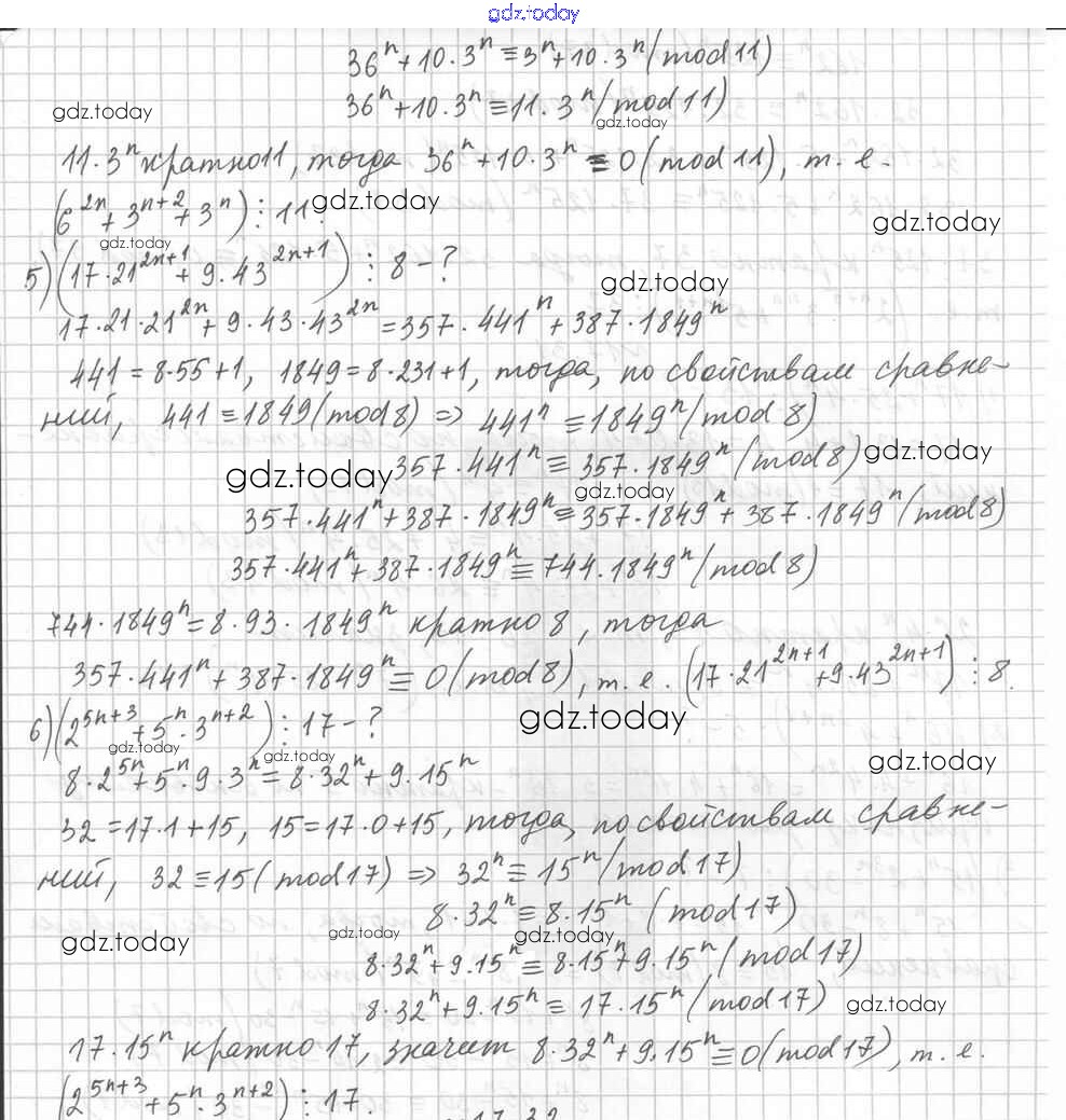
Решение к главе 3. Основы теории делимости
На страницах сайта gdz.today вы найдете учебный и вспомогательный материал, направленный на улучшения знаний школьной программы. ГДЗ - онлайн мир знаний §17. деление с остатком Решение к главе 3. Основы теории делимости 31 Учебнику по Алгебре для 8 класса Мерзляк, Поляков Углубленный уровень Вентана-граф Алгоритм успеха 2020