Выберите класс▼

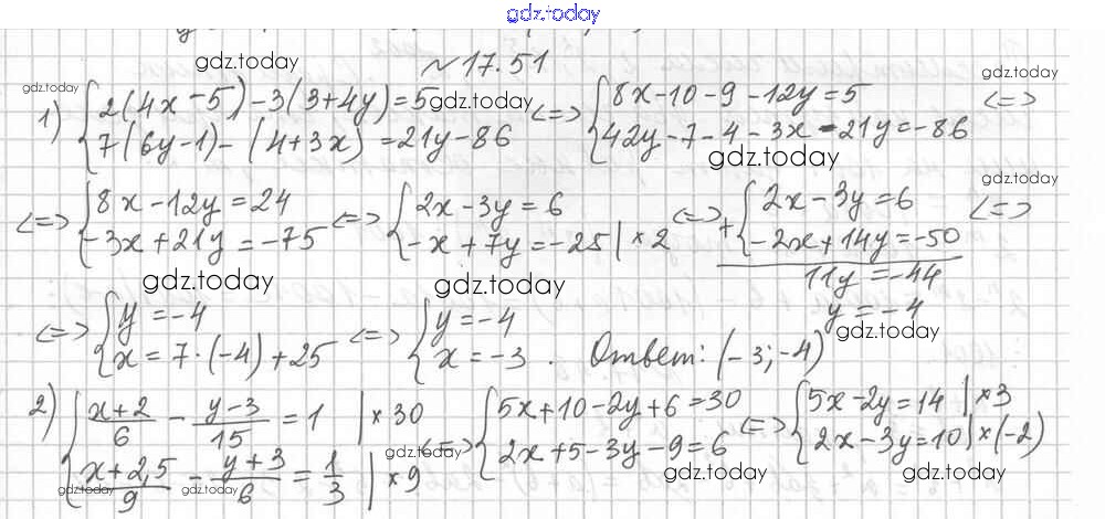
Ответы к §17. деление с остатком Решение к главе 3. Основы теории делимости 51 Учебнику по Алгебре для 8 класса Мерзляк, Поляков Углубленный уровень Вентана-граф Алгоритм успеха 2020

  • Решение к главе 3. Основы теории делимости
    • §18. Наибольший общий делитель и наименьшее общее кратное двух натуральных чисел
    • 1 2 3 4 5 6 7
На страницах сайта gdz.today вы найдете учебный и вспомогательный материал, направленный на улучшения знаний школьной программы. ГДЗ - онлайн мир знаний §17. деление с остатком Решение к главе 3. Основы теории делимости 51 Учебнику по Алгебре для 8 класса Мерзляк, Поляков Углубленный уровень Вентана-граф Алгоритм успеха 2020