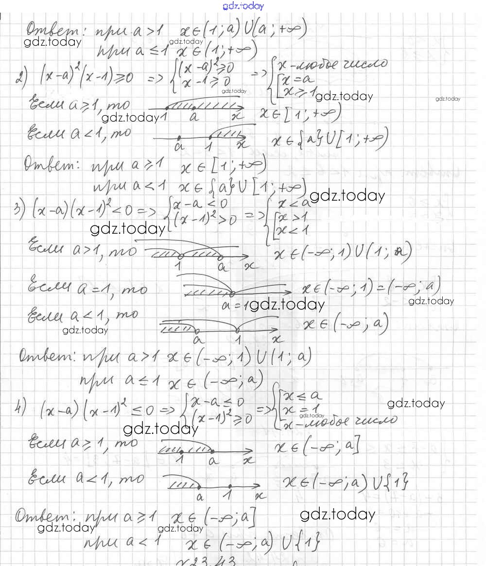
Ответы к §24. Системы и совокупности линейных неравенств с одной переменной Решение к главе 4. Неравенства 42 Учебнику по Алгебре для 8 класса Мерзляк, Поляков Углубленный уровень Вентана-граф Алгоритм успеха 2020
-
Решение к главе 4. Неравенства
На страницах сайта gdz.today вы найдете учебный и вспомогательный материал, направленный на улучшения знаний школьной программы. ГДЗ - онлайн мир знаний §24. Системы и совокупности линейных неравенств с одной переменной Решение к главе 4. Неравенства 42 Учебнику по Алгебре для 8 класса Мерзляк, Поляков Углубленный уровень Вентана-граф Алгоритм успеха 2020