Ответы к §27. Квадратные корни Решение к главе 5. Квадратные корни. Действительные числа 11 Учебнику по Алгебре для 8 класса Мерзляк, Поляков Углубленный уровень Вентана-граф Алгоритм успеха 2020
-
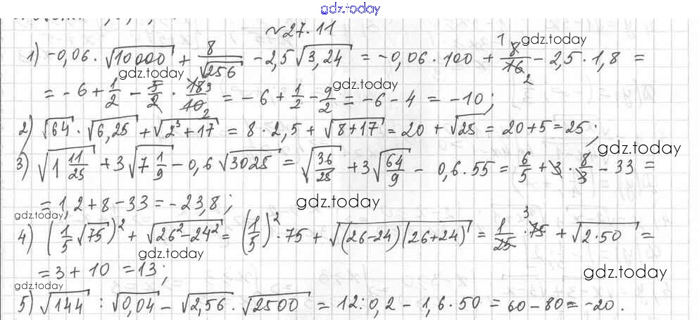
Решение к главе 5. Квадратные корни. Действительные числа
На страницах сайта gdz.today вы найдете учебный и вспомогательный материал, направленный на улучшения знаний школьной программы. ГДЗ - онлайн мир знаний §27. Квадратные корни Решение к главе 5. Квадратные корни. Действительные числа 11 Учебнику по Алгебре для 8 класса Мерзляк, Поляков Углубленный уровень Вентана-граф Алгоритм успеха 2020