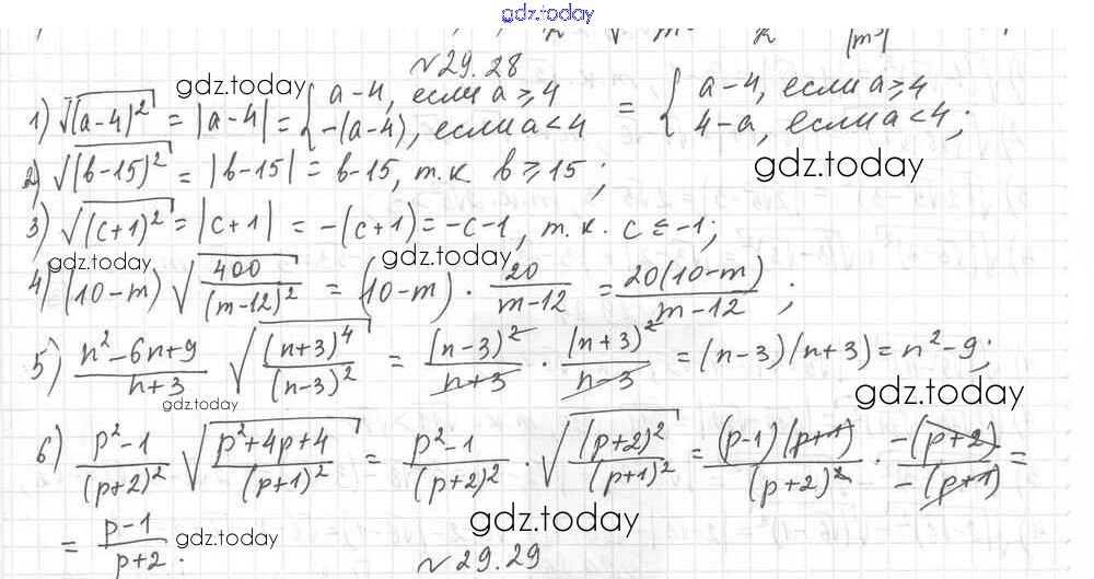
Ответы к §29. Свойства арифметического квадратного корня Решение к главе 5. Квадратные корни. Действительные числа 28 Учебнику по Алгебре для 8 класса Мерзляк, Поляков Углубленный уровень Вентана-граф Алгоритм успеха 2020
-
Решение к главе 5. Квадратные корни. Действительные числа
На страницах сайта gdz.today вы найдете учебный и вспомогательный материал, направленный на улучшения знаний школьной программы. ГДЗ - онлайн мир знаний §29. Свойства арифметического квадратного корня Решение к главе 5. Квадратные корни. Действительные числа 28 Учебнику по Алгебре для 8 класса Мерзляк, Поляков Углубленный уровень Вентана-граф Алгоритм успеха 2020