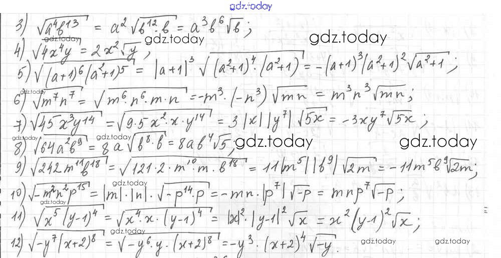
Ответы к §30. Тождественные преобразования выражений, содержащих арифметические квадратные корни Решение к главе 5. Квадратные корни. Действительные числа 35 Учебнику по Алгебре для 8 класса Мерзляк, Поляков Углубленный уровень Вентана-граф Алгоритм успеха 2020
-
Решение к главе 5. Квадратные корни. Действительные числа
На страницах сайта gdz.today вы найдете учебный и вспомогательный материал, направленный на улучшения знаний школьной программы. ГДЗ - онлайн мир знаний §30. Тождественные преобразования выражений, содержащих арифметические квадратные корни Решение к главе 5. Квадратные корни. Действительные числа 35 Учебнику по Алгебре для 8 класса Мерзляк, Поляков Углубленный уровень Вентана-граф Алгоритм успеха 2020