Выберите класс▼

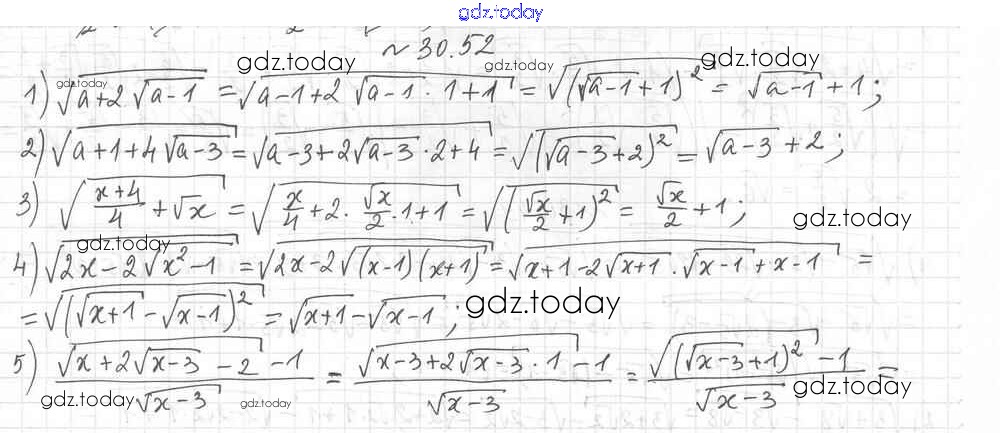
Ответы к §30. Тождественные преобразования выражений, содержащих арифметические квадратные корни Решение к главе 5. Квадратные корни. Действительные числа 52 Учебнику по Алгебре для 8 класса Мерзляк, Поляков Углубленный уровень Вентана-граф Алгоритм успеха 2020

  • Решение к главе 5. Квадратные корни. Действительные числа
    • §31. Функция y=√x и ее график
    • 1 2 3
На страницах сайта gdz.today вы найдете учебный и вспомогательный материал, направленный на улучшения знаний школьной программы. ГДЗ - онлайн мир знаний §30. Тождественные преобразования выражений, содержащих арифметические квадратные корни Решение к главе 5. Квадратные корни. Действительные числа 52 Учебнику по Алгебре для 8 класса Мерзляк, Поляков Углубленный уровень Вентана-граф Алгоритм успеха 2020