Выберите класс▼

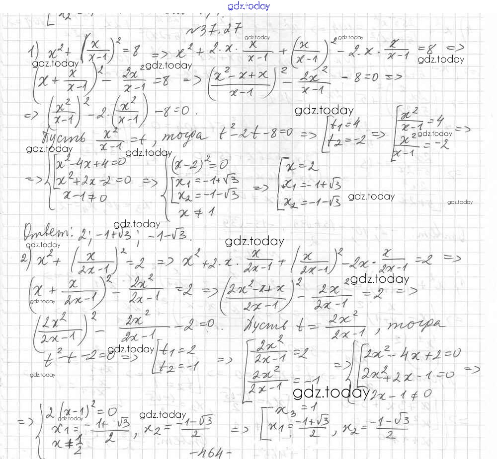
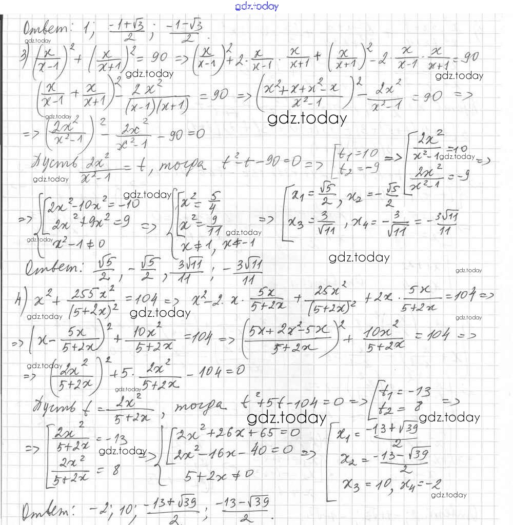
Ответы к §37. Решение уравнений методом замены переменной Решение к главе 6. Квадратные уравнения 27 Учебнику по Алгебре для 8 класса Мерзляк, Поляков Углубленный уровень Вентана-граф Алгоритм успеха 2020

  • Решение к главе 6. Квадратные уравнения
    • §38. Рациональные уравнения как математические модели реальных ситуаций
    • 1 2 3 4
На страницах сайта gdz.today вы найдете учебный и вспомогательный материал, направленный на улучшения знаний школьной программы. ГДЗ - онлайн мир знаний §37. Решение уравнений методом замены переменной Решение к главе 6. Квадратные уравнения 27 Учебнику по Алгебре для 8 класса Мерзляк, Поляков Углубленный уровень Вентана-граф Алгоритм успеха 2020