Выберите класс▼

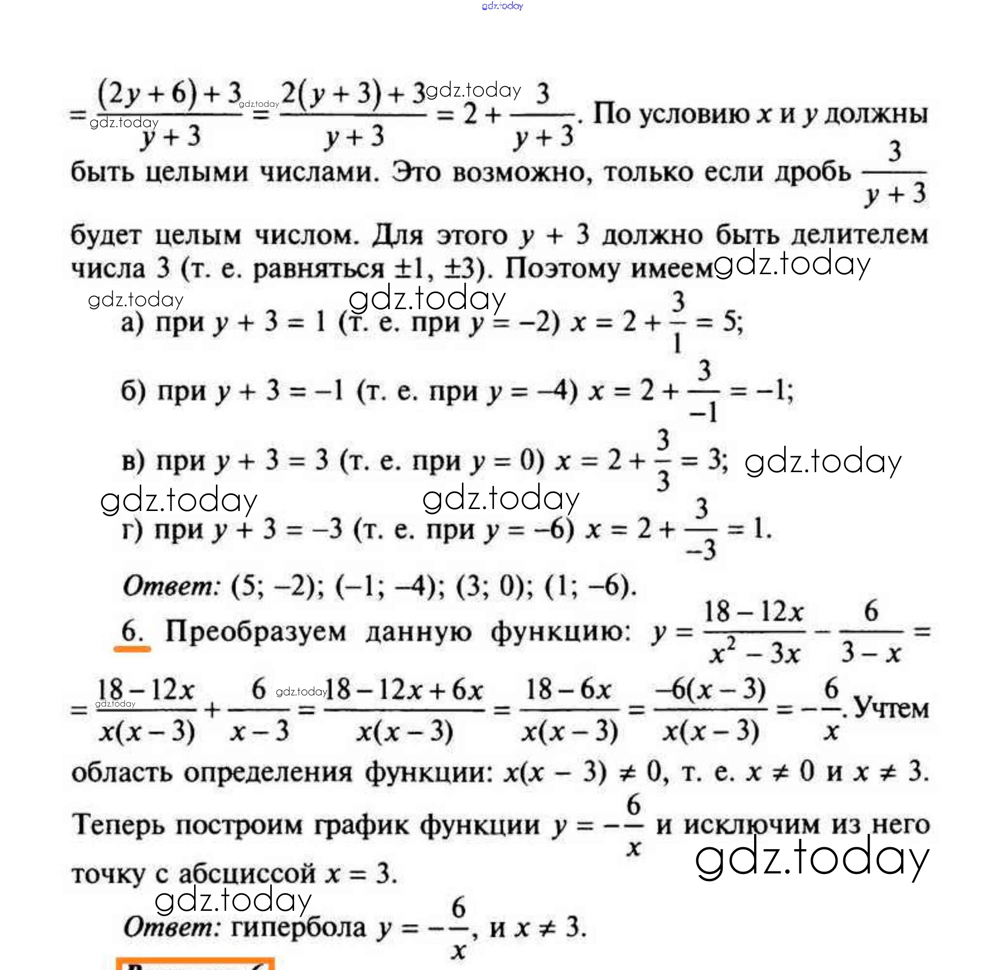
Ответы к Рациональные дроби (Варианты) Решение к главе 1. Рациональные дроби (Контрольные работы) 5 Поурочным разработкам по Алгебре для 8 класса Рурукин ВАКО УМК 2019

  • Решение к главе 1. Рациональные дроби (Контрольные работы)
    • Сумма и разность дробей (Варианты)
    • 3 4 5 6
  • Решение к главе 2. Квадратные корни (Контрольные работы)
    • Свойства квадратного арифметического корня (Варианты)
    • 1 2 3 4 5 6
    • Применение свойств квадратного корня (Варианты)
    • 1
На страницах сайта gdz.today вы найдете учебный и вспомогательный материал, направленный на улучшения знаний школьной программы. ГДЗ - онлайн мир знаний Рациональные дроби (Варианты) Решение к главе 1. Рациональные дроби (Контрольные работы) 5 Поурочным разработкам по Алгебре для 8 класса Рурукин ВАКО УМК 2019