Выберите класс▼

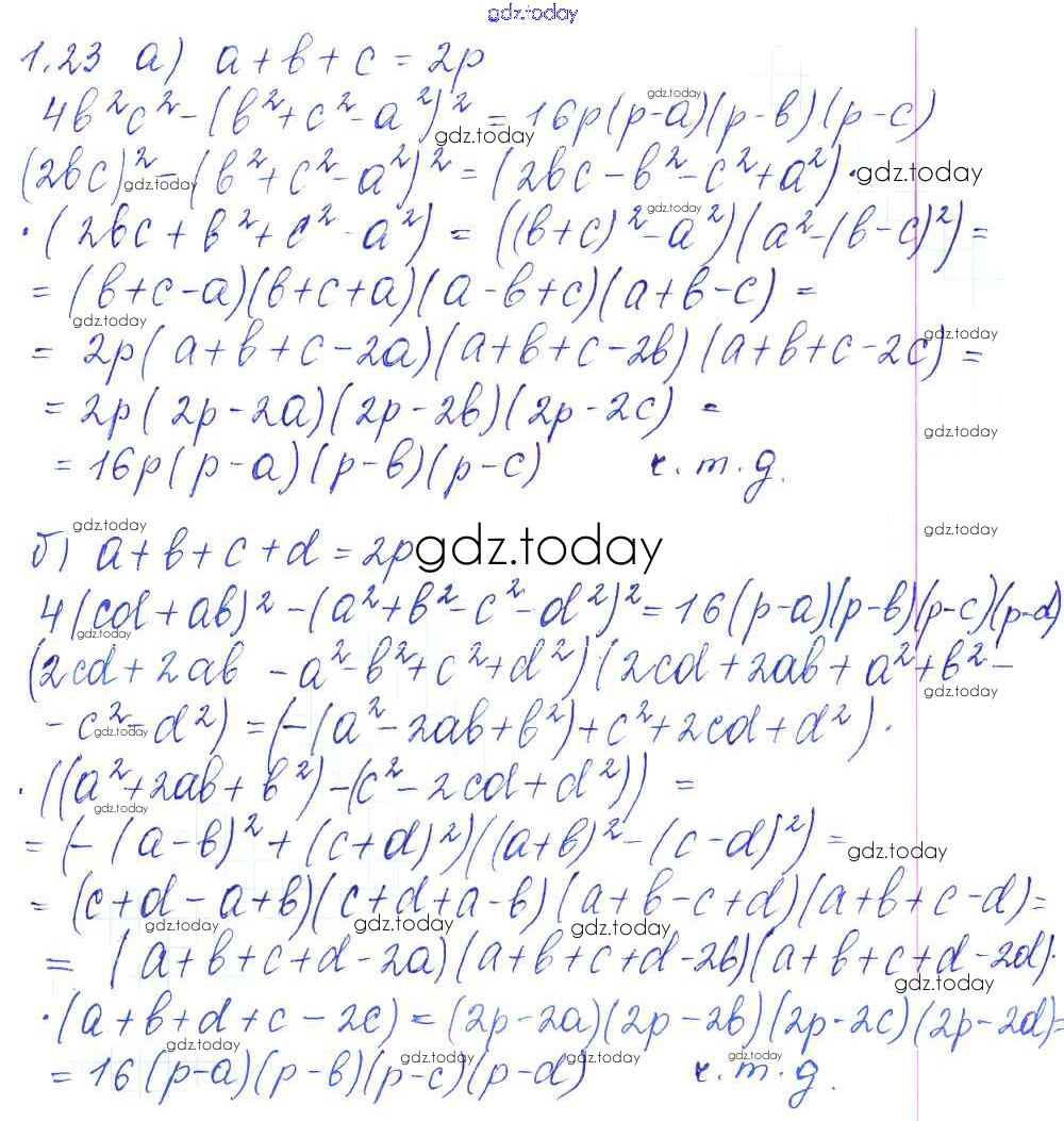
Ответы к Решение к параграфам 1. Повторение и углубление курса алгебры 7 класса 1.23 Сборнику задач по Алгебре для 8 класса Галицкий, Гольдман Просвещение 2019

На страницах сайта gdz.today вы найдете учебный и вспомогательный материал, направленный на улучшения знаний школьной программы. ГДЗ - онлайн мир знаний Решение к параграфам 1. Повторение и углубление курса алгебры 7 класса 1.23 Сборнику задач по Алгебре для 8 класса Галицкий, Гольдман Просвещение 2019