Выберите класс▼

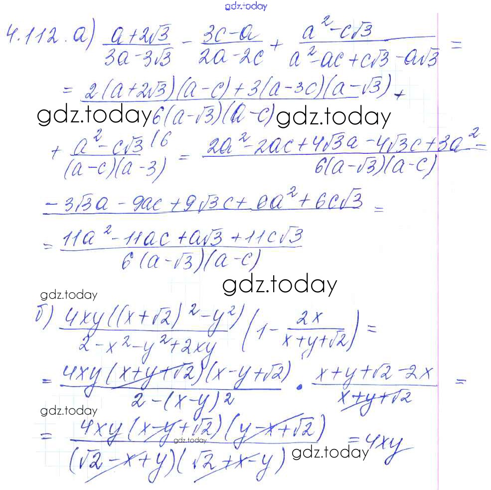
Ответы к Решение к параграфам 4. Квадратные корни 4.112 Сборнику задач по Алгебре для 8 класса Галицкий, Гольдман Просвещение 2019

На страницах сайта gdz.today вы найдете учебный и вспомогательный материал, направленный на улучшения знаний школьной программы. ГДЗ - онлайн мир знаний Решение к параграфам 4. Квадратные корни 4.112 Сборнику задач по Алгебре для 8 класса Галицкий, Гольдман Просвещение 2019