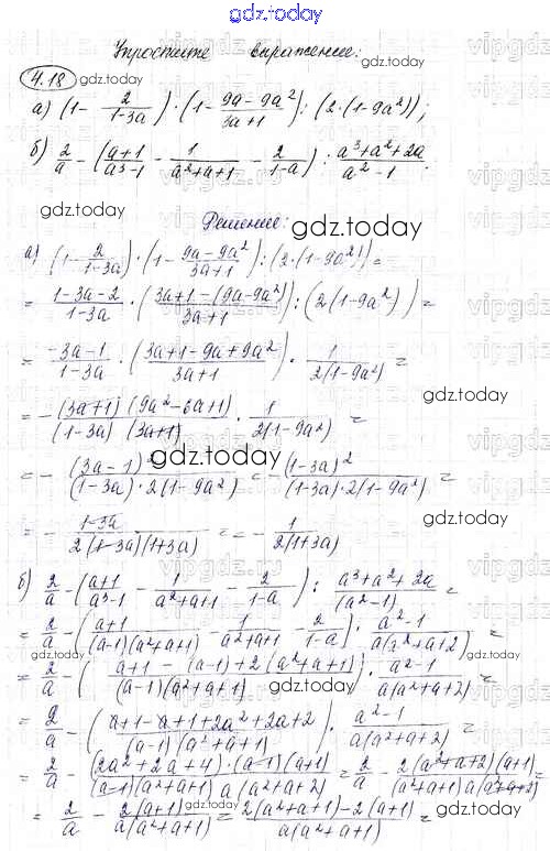
Ответы к Решение к параграфам 4  18 Задачнику по Алгебре для 8 класса Мордкович Углубленный уровень Мнемозина УМК 2016
    
    
            
                На страницах сайта gdz.today вы найдете учебный и вспомогательный материал, направленный на улучшения знаний школьной программы. ГДЗ - онлайн мир знаний Решение к параграфам 4  18 Задачнику по Алгебре для 8 класса Мордкович Углубленный уровень Мнемозина УМК 2016