Выберите класс▼

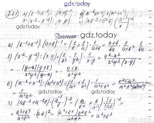
Ответы к Решение к параграфам 6 21 Задачнику по Алгебре для 8 класса Мордкович Углубленный уровень Мнемозина УМК 2016

На страницах сайта gdz.today вы найдете учебный и вспомогательный материал, направленный на улучшения знаний школьной программы. ГДЗ - онлайн мир знаний Решение к параграфам 6 21 Задачнику по Алгебре для 8 класса Мордкович Углубленный уровень Мнемозина УМК 2016