Ответы к Параграф 4 Решение к главе 2 стр.40 Рабочей тетради по Алгебре для 8 класса Журавлев, Перепелкина Экзамен УМК 2013
-
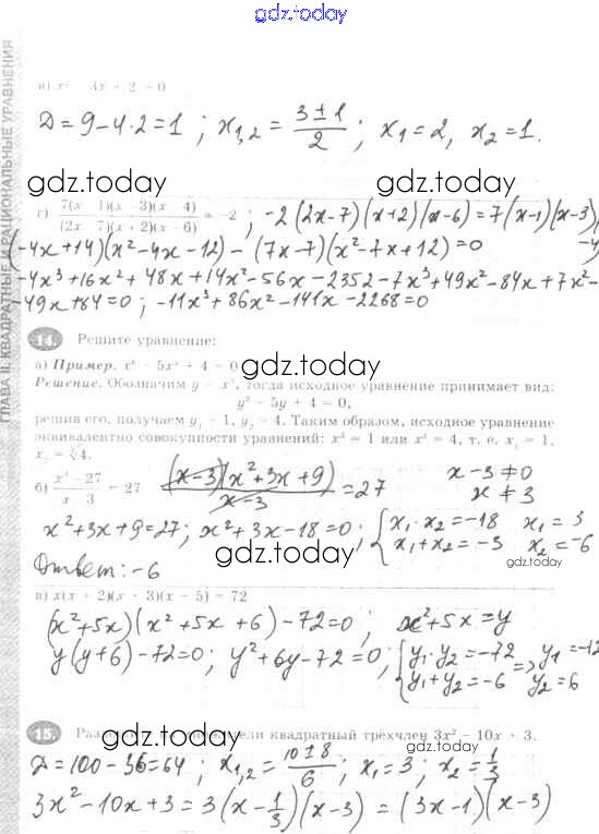
Решение к главе 2
На страницах сайта gdz.today вы найдете учебный и вспомогательный материал, направленный на улучшения знаний школьной программы. ГДЗ - онлайн мир знаний Параграф 4 Решение к главе 2 стр.40 Рабочей тетради по Алгебре для 8 класса Журавлев, Перепелкина Экзамен УМК 2013