Ответы к Вариант 1 Решение к упражнениям 258 Дидактическим материалам по Геометрии для 8 класса Мерзляк, Полонский Вентана-граф Алгоритм успеха 2017
-
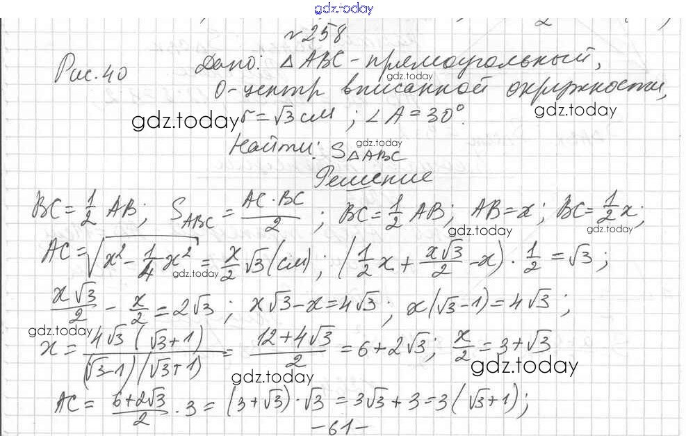
Решение к упражнениям
На страницах сайта gdz.today вы найдете учебный и вспомогательный материал, направленный на улучшения знаний школьной программы. ГДЗ - онлайн мир знаний Вариант 1 Решение к упражнениям 258 Дидактическим материалам по Геометрии для 8 класса Мерзляк, Полонский Вентана-граф Алгоритм успеха 2017