Выберите класс▼

Ответы к § 9. Применение свойств центральных и вписанных углов Решение к главе 2. Вписанные и описанные четырехугольники 2 Учебнику по Геометрии для 8 класса Мерзляк, Поляков Углубленный уровень Вентана-граф Алгоритм успеха 2020

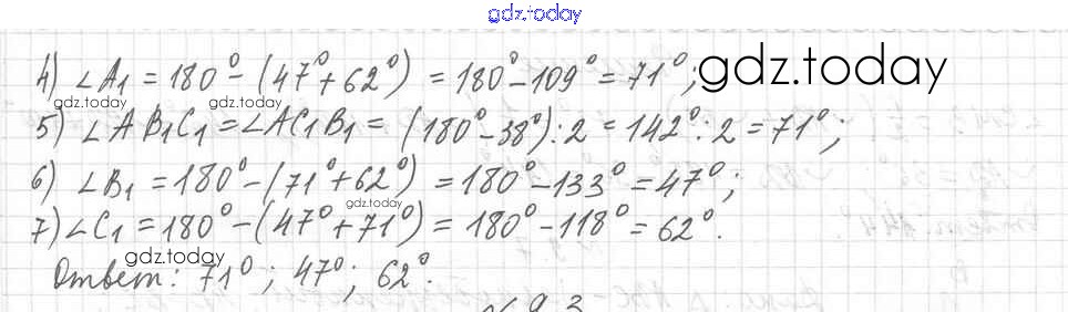
  • Решение к главе 2. Вписанные и описанные четырехугольники
На страницах сайта gdz.today вы найдете учебный и вспомогательный материал, направленный на улучшения знаний школьной программы. ГДЗ - онлайн мир знаний § 9. Применение свойств центральных и вписанных углов Решение к главе 2. Вписанные и описанные четырехугольники 2 Учебнику по Геометрии для 8 класса Мерзляк, Поляков Углубленный уровень Вентана-граф Алгоритм успеха 2020