Выберите класс▼

Ответы к Уровень 2 Контрольная работа 4 1 Поурочным разработкам по Геометрии для 8 класса Гаврилова ВАКО 2010

  • Решение к контрольным работам
    • Глава 7
      • Контрольная работа 3
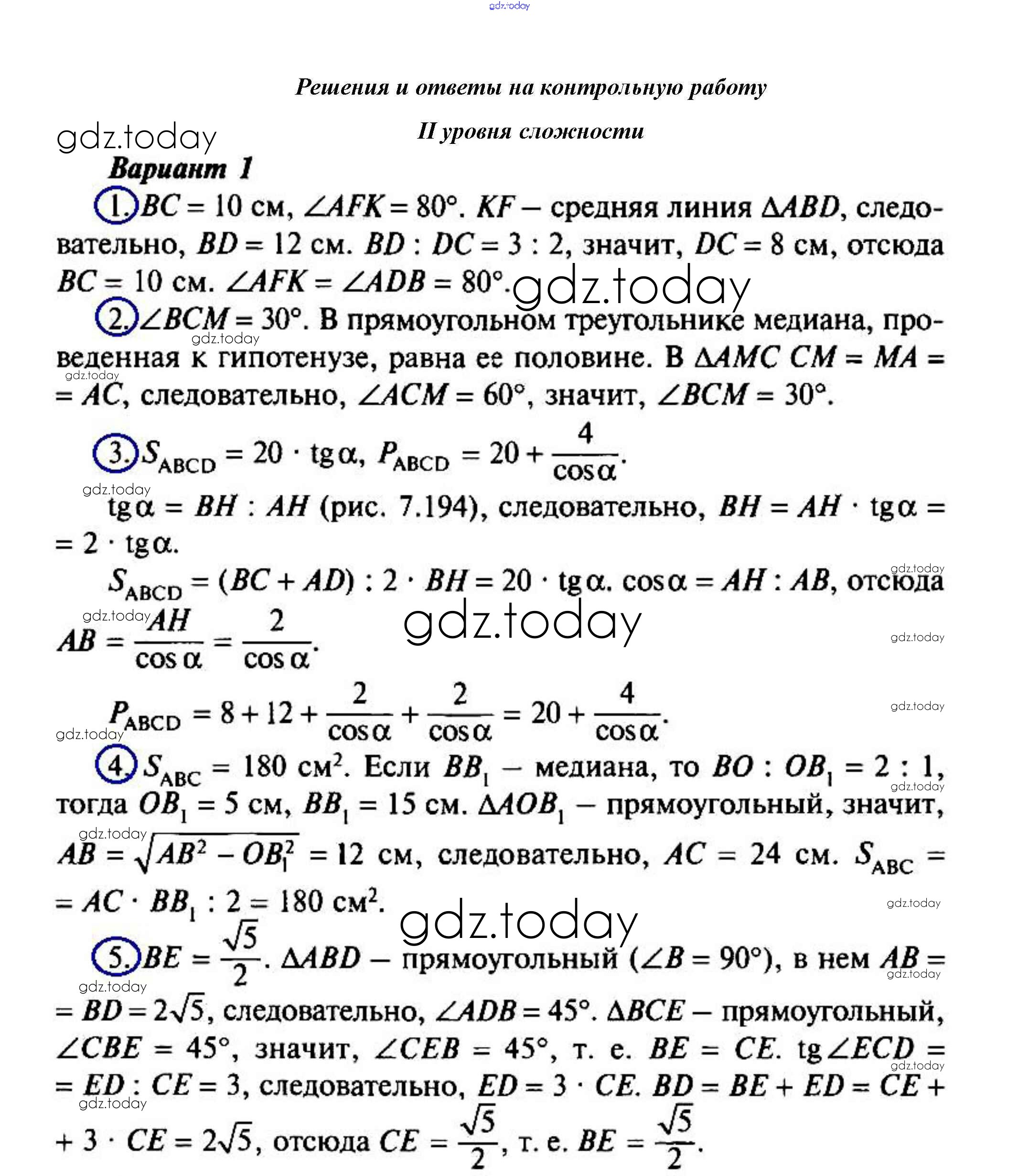
      • Контрольная работа 4
    • Глава 8
      • Контрольная работа 5
        • Уровень сложности 1
        • 1 2
        • Уровень сложности 2
        • 1 2
        • Уровень сложности 3
        • 1
На страницах сайта gdz.today вы найдете учебный и вспомогательный материал, направленный на улучшения знаний школьной программы. ГДЗ - онлайн мир знаний Уровень 2 Контрольная работа 4 1 Поурочным разработкам по Геометрии для 8 класса Гаврилова ВАКО 2010