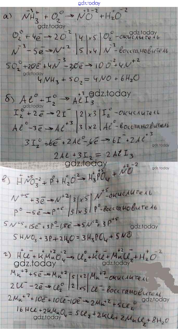
Ответы к Решение к §44 7 Учебнику по Химии для 8 класса Габриелян Дрофа Вертикаль 2019
-
Решение к §43
4
5
-
Решение к практическим работам
На страницах сайта gdz.today вы найдете учебный и вспомогательный материал, направленный на улучшения знаний школьной программы. ГДЗ - онлайн мир знаний Решение к §44 7 Учебнику по Химии для 8 класса Габриелян Дрофа Вертикаль 2019