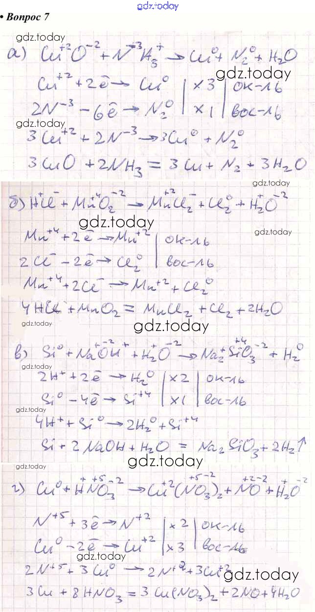
Ответы к Решение к §39 7 Учебнику по Химии для 8 класса Габриелян, Остроумов Просвещение 2021
-
Решение к §38
6
7
-
Решение к практическим работам
1
2
3
4
5
На страницах сайта gdz.today вы найдете учебный и вспомогательный материал, направленный на улучшения знаний школьной программы. ГДЗ - онлайн мир знаний Решение к §39 7 Учебнику по Химии для 8 класса Габриелян, Остроумов Просвещение 2021