Ответы к Решение к §6. Вычисление химического количества вещества по его массе и массы вещества по его химическому количеству 2 Учебнику по Химии для 8 класса Шиманович, Красицкий Народная асвета 2018
-
Решение к §5. Молярная масса. Молярный объем газов
2
3
4
5
6
7
8
-
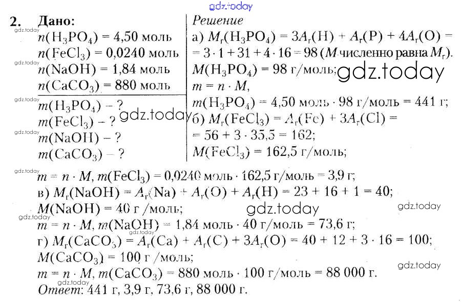
Решение к §6. Вычисление химического количества вещества по его массе и массы вещества по его химическому количеству
1
2
Готовимся к олимпиадам
-
Решение к §7. Вычисление химического количества газа по его объему и объема газа по его химическому количеству
1
2
3
4
Готовимся к олимпиадам
-
Решение к §8. Химические реакции
1
2
На страницах сайта gdz.today вы найдете учебный и вспомогательный материал, направленный на улучшения знаний школьной программы. ГДЗ - онлайн мир знаний Решение к §6. Вычисление химического количества вещества по его массе и массы вещества по его химическому количеству 2 Учебнику по Химии для 8 класса Шиманович, Красицкий Народная асвета 2018