Выберите класс▼

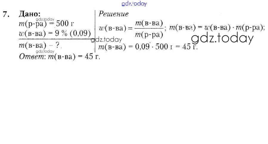
Ответы к Решение к §50. Количественные характеристики состава растворов. Массовая доля растворенного вещества 7 Учебнику по Химии для 8 класса Шиманович, Красицкий Народная асвета 2018

  • Решение к §51. Молярная концентрация растворенных веществ
  • 1 2 3 4 5
На страницах сайта gdz.today вы найдете учебный и вспомогательный материал, направленный на улучшения знаний школьной программы. ГДЗ - онлайн мир знаний Решение к §50. Количественные характеристики состава растворов. Массовая доля растворенного вещества 7 Учебнику по Химии для 8 класса Шиманович, Красицкий Народная асвета 2018