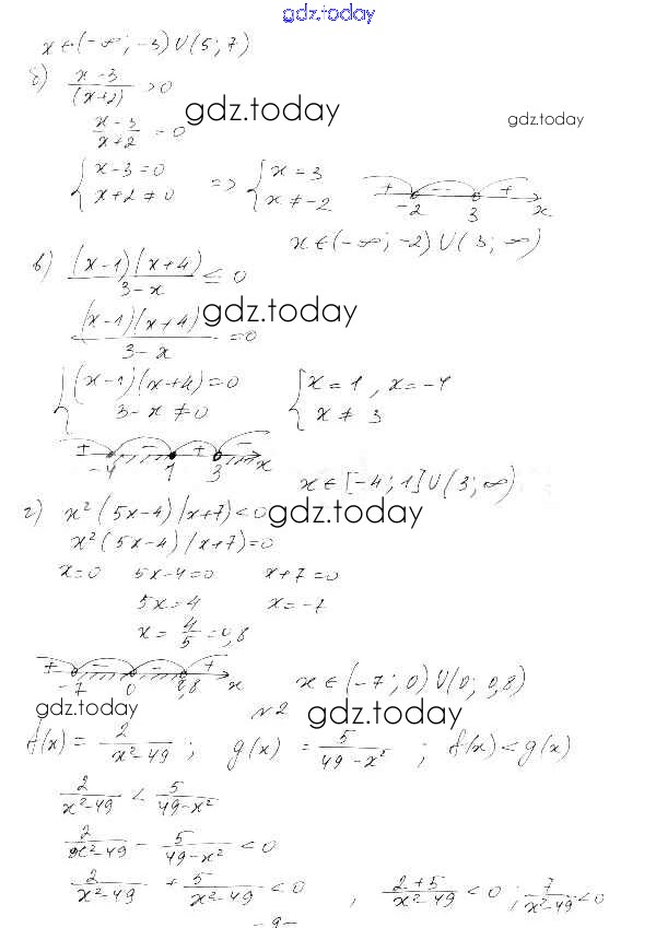
Ответы к СР-3. Рациональные неравенства Решение к теме 1. Неравенства и системы неравенств вариант 1 Самостоятельным работам по Алгебре для 9 класса Александрова Базовый уровень Мнемозина УМК 2016
-
Решение к теме 1. Неравенства и системы неравенств
На страницах сайта gdz.today вы найдете учебный и вспомогательный материал, направленный на улучшения знаний школьной программы. ГДЗ - онлайн мир знаний СР-3. Рациональные неравенства Решение к теме 1. Неравенства и системы неравенств вариант 1 Самостоятельным работам по Алгебре для 9 класса Александрова Базовый уровень Мнемозина УМК 2016