Выберите класс▼

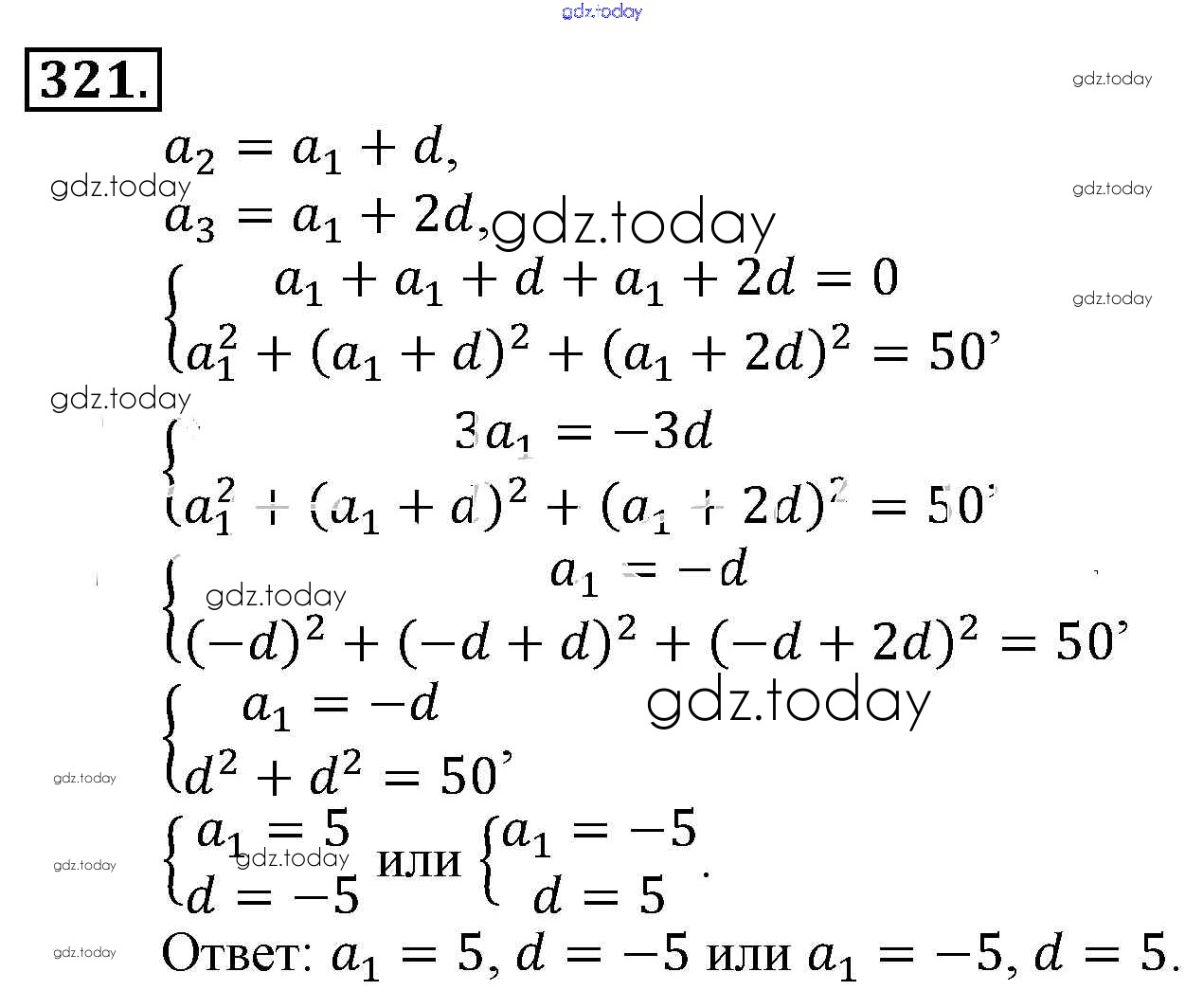
Ответы к Решение к упражнениям 321 Учебнику по Алгебре для 9 класса Алимов, Колягин Просвещение 2014

На страницах сайта gdz.today вы найдете учебный и вспомогательный материал, направленный на улучшения знаний школьной программы. ГДЗ - онлайн мир знаний Решение к упражнениям 321 Учебнику по Алгебре для 9 класса Алимов, Колягин Просвещение 2014