Выберите класс▼

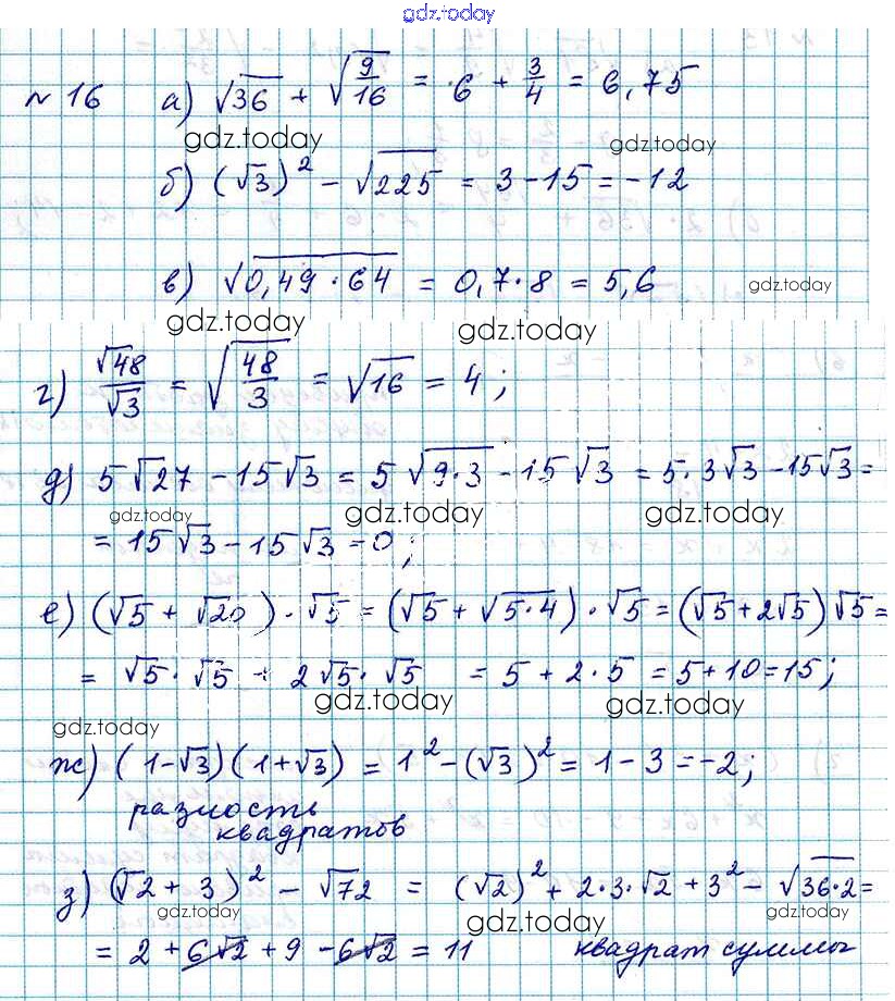
Ответы к Повторение (решение) 16 Учебнику по Алгебре для 9 класса Арефьева, Пирютко Народная асвета 2019

На страницах сайта gdz.today вы найдете учебный и вспомогательный материал, направленный на улучшения знаний школьной программы. ГДЗ - онлайн мир знаний Повторение (решение) 16 Учебнику по Алгебре для 9 класса Арефьева, Пирютко Народная асвета 2019